A forgógépek világában a legtöbbször előforduló hiba a kiegyensúlyozatlanság. Megjegyzendő, hogy az egyensúlyhiba mindig jelen van, legfeljebb a mértéke nem éri el azt a határt, hogy hibának tekintsük. Tökéletesen - "nullára" - kiegyensúlyozott forgórész nincs, csak olyan, amelyik teljesíti az elvárásainkat, illetve a vonatkozó szabványok előírásait.
Egyensúlyhibáról akkor beszélünk, ha az adott forgórész súlyvonala nem esik egybe a forgástengelyével. Attól függően, hogy e tengelyek hogyan viszonyulnak egymáshoz, a kiegyensúlyozatlanság alábbi típusait különböztetjük meg:
Statikus
Statikus egyensúlyozatlanság esetén a forgástengely és a súlyvonal egymással párhuzamos.
Ellentétes
Páros, ellentétes vagy nyomaték-egyensúlyozatlanságról akkor beszélünk, ha a forgástengely és a súlyvonal egymással szöget zárnak be, de metszik egymást. DinamikusDinamikus egyensúlyozatlanság esetén a forgástengely és a súlyvonal kitérőek.

Amiatt, hogy a súlyközéppont (illetve súlyközépvonal) és a forgásközéppont (illetve forgástengely) nem esik egybe, centrifugális erőhatás lép fel (4. ábra). E hatás terheli a forgórész alátámasztását: a csapágyakat és tartószerkezetüket. A fellépő centrifugális erő természetesen ugyanazzal a frekvenciával forog a forgástengely körül, mint maga a tengely.
Az egyensúlyozatlanság hatására jelentkező centrifugális erő a következő egyenlet alapján számítható ki: F = m * r * ω2 , ahol F … a centrifugális erő m … a kiegyenlítetlen tömeg r … a kiegyenlítetlen tömeg távolsága a forgás középpontjától ω … a szögsebesség (körfrekvencia) Az egyenletből adódóan a centrifugális erőhatás négyzetesen függ a fordulatszámtól, tehát magasabb fordulatszámú gépek esetén a kiegyensúlyozatlanság megszüntetése fokozottan fontos.

A centrifugális erő körmozgást végez, így a csapágyaknak, illetve a tartószerkezetnek egy kitüntetett pontjára ható erő nem állandó, hanem szinuszos pulzálást mutat: egy fordulat alatt egyszer eléri előbb a maximumát, majd a minimumértékét. A centrifugális erő egyenlete:
F(t) = m * r * ω2 * sin(ω*t) A csapágyaknak és a tartószerkezetnek ezzel az erővel azonos nagyságú ellenerőt kell kifejteniük ahhoz, hogy helyben tartsák a forgórészt. Az eközben keletkező alternáló mozgás - a csapágyházakon mérhető rezgőmozgás – a tartószerkezet merevségétől is függ. A támaszokon, csapágyházakon (továbbiakban csapágyakon) mért rezgés tehát – kizárólag egyensúlyhiba esetén - arányos a fellépő centrifugális erővel. E felismerés alapján tudjuk meghatározni a kiegyensúlyozatlanság mértékét, illetve el tudjuk végezni az egyensúlyozást. Ezt végrehajthatjuk egyensúlyozó padon vagy a helyszínen, a gép saját csapágyazásán. Jelen cikkünkben a padi egyensúlyozásra nem térünk ki. A helyszíni egyensúlyozást – műszerezettségtől függően – végezhetjük az úgynevezett három pont módszerrel vagy az amplitúdó-fázis mérésen alapuló vektoros eljárással.
Három pont módszer
Ezzel a módszerrel tárcsa alakú forgórészek kiegyensúlyozatlanságát lehet megszüntetni. Az eljárás az egyensúlyozás legegyszerűbb módjának számít, csupán kézi rezgésmérőt igényel. Öt-hat indítással ad kielégítő eredményt. Az egyensúlyozás lépései: Az egyensúlyozás lépései:

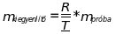
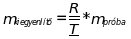
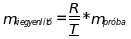
1) A gépet beindítjuk és a forgórész üzemi fordulatszámán megmérjük a csapágy sugárirányú rezgésének sebességét (v0). 2) Meghatározzuk a szükséges próbasúly nagyságát (P), majd tetszőleges helyre felerősítjük. 3) A gépet elindítjuk és megmérjük a rezgéssebességet (v1). 4) A próbasúlyt áthelyezzük az előző helytől 120º–ra és így is megmérjük a csapágy rezgését (v2). 5) A próbasúlyt ismét áthelyezzük 120º-kal. A csapágy rezgését újból megmérjük (v3). 6) A mért v1, v2, v3 értékeket egy 120º-os koordinátarendszer három, a forgórész számozásával azonos forgási értelemben egy alkalmasan választott mértékarányban felrajzoljuk (3. ábra). 7) Megszerkesztjük a vektorok végpontjain átmenő kör középpontját (A). Az origó és A pontokat összekötve megkapjuk a kiegyensúlyozatlanság irányát. Ezt az irányt a forgórészen megjelöljük. 8) A kiegyensúlyozatlanság irányával 180º-kal ellentétesen ismét felhelyezzük a próbasúlyt, majd rezgésmérést végzünk (v4). 9) A mért adatokból a kiegyensúlyozatlanság nagysága, illetve a kiegyensúlyozáshoz szükséges tömeg a következő összefüggéssel számítható ki:
![]()
Az eljárás sikerének feltétele, hogy a számításban szereplő rezgések döntő részben egyensúlyozatlanságból származzanak. Ennek eldöntésére azonban a kézi rezgésmérő nem alkalmas, mivel nem a forgásfrekvenciájú rezgésösszetevőt, hanem a szélessávú szintet méri. Ezért az egyensúlyozás végrehajtásához lehetőleg frekvenciaelemző műszert kell használni. Az eljárás legfőbb hátránya, hogy meglehetősen sok, - az ellenőrzéssel együtt - legalább 6 indítás szükséges az egyensúlyozás elvégzéséhez. Ez a nagy számú indítás sokszor a gép sajátossága miatt nem engedhető meg, illetve előfordul, hogy rendkívül hosszú időt vesz igénybe.
Vektoros (próbasúly alapú) módszer
Az eljárás alapja az egyensúlyozandó forgórész csapágyain sugárirányban mért rezgésvektor, azaz a forgásfrekvenciájú rezgésamplitúdó, valamint annak úgynevezett fázisa. A fázis (illetve fázisszög) leírja, hogy a kiegyenlítetlen súly - a forgórészen definiált ponthoz (referenciajelöléshez) képest - milyen szöghelyzetben van. E szöghelyzet függ a gép rugalmasságától és időállandójától (tehát a gépet mechanikai rendszerként jellemző tulajdonságoktól), valamint a használt mérőrendszer fázismérési paramétereitől (mérési elv, integrálás vagy kétszeres integrálás alkalmazása, jelfeldolgozási késleltetés stb.). Mindezen tényezők adott gépre és mérőrendszerre állandók, de gépenként és műszerenként jelentősen eltérhetnek egymástól. Egy új egyensúlyozás kezdetekor nem tudhatjuk, hogy hol van a kiegyensúlyozatlanságot okozó plusztömeg. Kénytelenek vagyunk tehát egy ismert nagyságú, ismert szöghelyzetre és rádiuszra felhelyezett tömeggel a rendszerben változást létrehozni, és így a gép egyensúlyozatlanságra történő reakcióját és érzékenységét megállapítani.
Példaként egy egysíkú egyensúlyozást mutatunk most be: A beavatkozás után mért rezgésvektor (piros) az eredeti R rezgésvektornak (fekete) és a próbatömeg T hatásvektorának (zöld) összege. Az eredeti vektor és a hatásvektor arányából meghatározható az eredeti egyensúlyozatlanság nagysága, azaz a szükséges korrekciós tömeg. Az eredeti és a hatásvektor által bezárt szög pedig megmutatja, hogy a próbasúlyhoz képest hány fokra kell tenni a korrekciós tömeget. Példánkban a próbasúlyt a mérést követően el kell távolítani. (Ha rajta akarjuk hagyni, akkor a fenti egyenletben az R vektor helyett az R+T vektort kell figyelembe vennünk.) A fentiekben az egyszerűség és a könnyű érthetőség kedvéért az egysíkú egyensúlyozás menetét ismertettük. E módszer a tárcsa alakú forgórészek egyensúlyozásakor nyújt kielégítő eredményt. A bonyolultabb vagy "hosszú" forgórészek esetén két- vagy többsíkú egyensúlyozás elvégzése szükséges.

Válaszmátrix
A gép kiegyensúlyozatlanságra történő reakciója és érzékenysége leírható például az úgynevezett válaszmátrix segítségével. Minden egyes egyensúlyozási síkra vonatkozóan ez a mátrix tartalmazza a gépen levő kiegyenlítetlen súly saját magára és a többi síkra gyakorolt hatását. Kétsíkú kiegyensúlyozás esetén a válaszmátrix a következőképpen nézhet ki:
a11= 0.0948653 mm/s b11= 169.8548317 ° a21= 0.0624921 mm/s b21= 190.5289268 ° a22= 0.1141621 mm/s b22= 346.5672016 ° a12= 0.991200 mm/s b12= 282.560746 ° A válaszmátrix értelmezése: Az egyszerűség érdekében most abból indulunk ki, hogy a gépünk kiegyensúlyozott állapotban van. Ha 1 egységnyi súlyt szerelünk fel 1 egységnyi rádiuszon, 0 fokos szöghelyen az első kiegyensúlyozási síkra, akkor az 1-es síkhoz tartozó mérőponton észlelhető forgásfrekvenciájú rezgés a11 nagysággal b11 fázisszög irányába növekszik, a 2-es síkhoz tartozó mérőponton pedig a21 nagysággal b21 fázisszög irányába (a kereszthatás miatt). Ha a fenti súlyt ezután áthelyezzük az 1-es síkról a 2-es síkra, akkor az 1-es síkhoz tartozó mérőponton észlelhető forgásfrekvenciájú rezgés a12 nagysággal b12 fázisszög irányába növekszik (a kereszthatás miatt), a 2-es síkhoz tartozó mérőponton pedig a22 nagysággal b22 fázisszög irányába. Ez gyakorlatilag a forgógép kiegyensúlyozatlanságra vonatkozó érzékenysége, amelynek ismeretében ugyanennek a gépnek újabb kiegyensúlyozásához (ugyanolyan pozícióban és szögben felszerelt érzékelőket és forgásreferenciát feltételezve) próbasúlyos mérésekre nincs többé szükség. Csupán az aktuális rezgés (amplitúdó és fázisszög) mérése alapján máris kiszámítható a szükséges kiegyenlítő súlyok nagysága és helye. (Az egységnyi súly és rádiusz a válaszmátrix rögzítése során alkalmazott mértékegységtől függ: ha a súlyokat grammban, valamint a rádiuszt mm-ben adtuk meg, akkor a válaszmátrix értelmezésekor egységnyi súly=1 gramm és egységnyi rádiusz=1 mm értékeket veszünk alapul.)
ISO 1940: a maradék-kiegyensúlyozatlanság megengedett mértéke
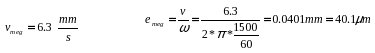
Mivel a bevezetőben említettek szerint tökéletesen kiegyensúlyozott forgórészek nincsenek, ezért minden esetben találkozunk maradék kiegyensúlyozatlansággal. Az egyes géptípusokra megengedhető maradék kiegyensúlyozatlanság mértékét az ISO 1940 szabvány rögzíti. E szabvány a forgórészek tömegközéppontja eltolódásának kerületi sebessége szerint sorolja osztályokba a gépeket (lásd táblázatunkat), és a maradék fajlagos kiegyensúlyozatlanságot (a tömegközéppont kitérését a forgástengelyhez képest forgás közben) az emeg értékben határozza meg.
Egy G6.3 osztályba sorolt, 1500 1/min fordulatszámú ventilátor esetében:

| A szabvány nomogramja [forrás: Energopenta]: |
![]() |
| Kiegyensú-lyozottságiosztály | Forgórész típusok (általános példák)
[forrás: Energopenta] |
| G1600 | Stabil forgattyús hajtóművek, mereven szerelt kétütemű motorok forgattyús tengelye, hajtásai |
| G630 | Mereven szerelt nagy négyütemű motorok forgattyús tengelyeinek hajtásai. Rugalmasan alapozott hajó-dízelmotorok |
| G250 | Mereven szerelt gyors négyhengeres dízelmotorok forgattyús tengelyei, hajtásai |
| G100 | Stabil forgattyús hajtóművek, gyorsan forgó hat- vagy többhengeres dízelmotorok forgattyús tengelyei, hajtásai, komplett motorok autókhoz, teherautókhoz, dízel-mozdonyokhoz |
| G40 | Autóalkatrészek, keréktárcsák, hajtótengelyek, valamint többhengeres négyütemű rugalmasan szerelt gyors motorok |
| G16 | Csuklós tengelyek különleges követelményekkel, törőgépek és mezőgazdasági gépek alkatrészei, személy- és tehergépkocsimotorok forgattyús hajtóműveinek egyes részei. Hat- vagy többhengeres motorok forgattyús tengelyei speciális követelmények mellett |
| G6.3 | Feldolgozó üzemi gépek részei: centrifugadobok, papíripari gépek görgői, ventilátorok, összeszerelt repülőgép-gázturbina forgórészei, szivattyú-járókerekek, gép és szerszámgépek alkatrészei, általános villanymotorok forgórészei, speciális követelmények szerinti motorok egyedi alkotóelemei |
| G2.5 | Sugárhajtóművek forgórészei, gáz- és gőzturbinák (beleértve a tengerészeti főturbinákat is), merev turbógenerátorok, forgórészek, turbókompresszorok, szerszámgépek hajtóművei, speciális követelményekkel rendelkező közepes és nagy villamos almatúrák, kis motorok forgórészei, turbinameghajtású szivattyúk |
| G1 | Magnetofon és lemezjátszó hajtásai, köszörűgép-hajtóművek, speciális követelményekkel rendelkező kis villamos armatúrák |
| G0.4 | Precíziós köszörűgépek forgórészei, tengelyei és tárcsái, pörgettyűk (giroszkópok) |
Rahne Eric (PIM Kft.) pim-kft.hu, gepszakerto.hu
A publikáció tartalmát szerzői jogok védik, ennek (akár csak részben történő) felhasználása, elektronikus vagy nyomtatott tovább-publikálása csak a forrás és a szerző nevének feltüntetése mellett, valamint a szerző előzetes írásos engedélyének megléte esetén megengedett. A szerzői jogok (Copyright) megsértése jogi következményekkel jár.
Copyright © PIM Professzionális Ipari Méréstechnika Kft.
2026 | Minden jog fenntartva
Impresszum | Adatkezelés